The Equality Effect
Improving life for everyone
by
Danny Dorling
with illustrations by
Ella Furness
Site Navigation
[Skip]
Home
Material
Introduction & Further Readings
Inequality in the UK in 2017
Getting rich is largely about luck– shame the wealthy don’t want to hear it
Talks
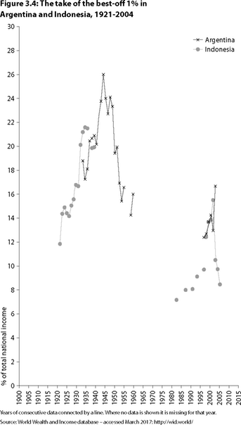
Figure 3-4
Previous
Next
List
Website created by
www.worldmapper.limited
(2017)
[Back To Top]